中国科学院昆明植物研究所
location
当前位置:首页 > 植化重点实验室 > 天然产物不对称全合成专题组 > 发表论文
left
天然产物不对称全合成专题组
发表论文

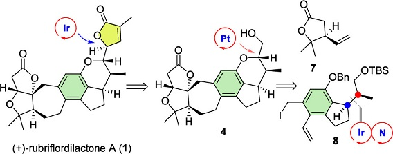
Ir-Catalyzed, Stereoselective Total Synthesis of (+)-Rubriflordilactone A

文章来源:  |  更新时间:2025-06-30  |  作者:  |  浏览次数:  |  【打印】 【关闭

 
Ir-Catalyzed, Stereoselective Total Synthesis of (+)-Rubriflordilactone A

Jun-Jie Liu, Zhi-Bin Ni, Lei Li, Kun Wei, Yu-Rong Yang*

J. Am. Chem. Soc. 2025, 147, 16792−16797

https://doi.org/10.1021/jacs.5c05000






中国科学院昆明植物研究所

版权所有 Copyright © 2002-2025 hth官网下载app ,All Rights Reserved 【滇ICP备05000394号
地址:中国云南省昆明市蓝黑路132号  邮政编码:650201    点击这里联系我们