中国科学院昆明植物研究所
location
当前位置:首页 > 生地实验室 > 植物保育与驯化生物学专题组 > 研究成果
left
植物保育与驯化生物学专题组
研究成果

云南梧桐的种群结构和更新动态研究取得进展

文章来源:  |  更新时间:2025-06-30  |  作者:李聪佳  |  浏览次数:  |  【打印】 【关闭

 
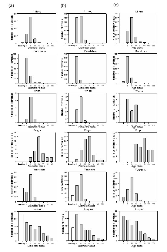
        云南梧桐(Firmiana major)是被认为野外灭绝后又重新发现的金沙江干热干暖河谷特有濒危植物。1984年,第一批中国珍稀濒危保护植物名录中为国家二级重点保护植物;1992年,《中国植物红皮书》(第一卷)中记载道由于人类对其栖息地的破坏,云南梧桐野生植株几乎绝迹;1998年,世界保护联盟(IUCN)宣布云南梧桐野外灭绝;1999年,《国家重点保护野生植物名录》也认为其野外灭绝,失去保护的必要,删除了云南梧桐。2002年,王大绍发文称云南梧桐并没有灭绝,认为在四川和云南省均还有数个分布点。2017年,中国科学院昆明植物研究所孙卫邦研究团队发现了云南梧桐在云南省宁蒗县和元谋县的两个分布点。
  2018-2019年,极小种群野生植物综合保护团队针对云南梧桐的灭绝历史、分布现状、种群结构和更新特性进行了两次调查,并根据调查结果重新评估了它的濒危等级并提出保护建议。研究结果:1、人为干扰特别是利用云南梧桐幼树的树皮制作绳索导致了20世纪80年代云南梧桐数量的急剧下降。2、云南梧桐现存6个居群,14个分布点,约4000株植株,种群的更新能力普遍较差。3、种群结构和种群更新调查分析得到:云南梧桐有69.53%的植株发生萌蘖,萌蘖可以促进云南梧桐的更新,但不能改变其种群衰退的趋势。4、放牧可能是导致云南梧桐幼苗和幼树数量减少的重要原因。5、根据IUCN2012)的标准,由于其地理分布十分狭窄,人为干扰严重,种群数量和占有面积在未来很可能继续下降,云南梧桐应评为易危(VulnerableVU)。另外,云南梧桐符合极小种群野生植物的标准和特点。

        该研究成果以“Population Structure and Regeneration Dynamics of Firmiana major, a Dominant but Endangered Tree Species”为题,发表于中科院分区林学类1区期刊Forest Ecology and Management上。本研究获得国家科技基础资源调查专项项目(2017FY100100)、第二次青藏高原综合科学考察研究(2019QZKK0502)、国家自然科学基金青年基金31600439)、中国科学院重点部署项目(KFJ-3W-No1)和云南省科技创新人才计划项目(2019HC015)的资助

 

 

 

 

 

 

 

 

 

 

 

 

 

 

 

 

 

 

 

 

 

 

 

 

 

 

 

 

 

 


中国科学院昆明植物研究所

版权所有 Copyright © 2002-2025 hth官网下载app ,All Rights Reserved 【滇ICP备05000394号
地址:中国云南省昆明市蓝黑路132号  邮政编码:650201    点击这里联系我们